|
|
Cтруктуры данных. Хранение информации.
Красно-черные деревья
Двоичные деревья работают лучше всего, когда они сбалансированы, когда
длина пути от корня до любого из листьев находится в определенных пределах,
связанных с числом узлов. Красно-черные деревья - один из способов балансировки
деревьев. Название происходит от стандартной раскраски узлов таких деревьев
в красный и черный цвета. Цвета узлов используются при балансировке дерева.
Во время операций вставки и удаления поддеревья может понадобиться повернуть,
чтобы достигнуть сбалансированности дерева. Оценкой как среднего время,
так и наихудшего является O(lg n).
Этот раздел - один из наиболее трудных в данной книжке. Если вы ошалеете
от вращений деревьев, попробуйте перейти к следующему разделу о слоёных
списках. Прекрасно написанные разделы о красно-черных деревьях вы найдете
у Кормена[1990].
Теория
Красно-черное дерево - это бинарное дерево с следующими свойствами:
-
Каждый узел покрашен либо в черный, либо в красный цвет.
-
Листьями объявляются NIL-узлы (т.е. "виртуальные" узлы, наследники
узлов, которые обычно называют листьями; на них "указывают" NULL указатели).
Листья покрашены в черный цвет.
-
Если узел красный, то оба его потомка черны.
-
На всех ветвях дерева, ведущих от его корня к листьям, число черных узлов
одинаково.
Количество черных узлов на ветви от корня до листа называется черной высотой
дерева. Перечисленные свойства гарантируют, что самая длинная ветвь от
корня к листу не более чем вдвое длиннее любой другой ветви от корня к
листу. Чтобы понять, почему это так, рассмотрим дерево с черной высотой
2. Кратчайшее возможное расстояние от корня до листа равно двум - когда
оба узла черные. Длиннейшее расстояние от корня до листа равно четырем
- узлы при этом покрашены (от корня к листу) так: красный, черный, красный,
черный. Сюда нельзя добавить черные узлы, поскольку при этом нарушится
свойство 4, из которого вытекает корректность понятия черной высоты. Поскольку
согласно свойству 3 у красных узлов непременно черные наследники, в подобной
последовательности недопустимы и два красных узла подряд. Таким образом,
длиннейший путь, который мы можем сконструировать, состоит из чередования
красных и черных узлов, что и приводит нас к удвоенной длине пути, проходящего
только через черные узлы. Все операции над деревом должны уметь работать
с перечисленными свойствами. В частности, при вставке и удалении эти свойства
должны сохраниться.
Вставка
Чтобы вставить узел, мы сначала ищем в дереве место, куда его следует добавить.
Новый узел всегда добавляется как лист, поэтому оба его потомка являются
NIL-узлами и предполагаются черными. После вставки красим узел в
красный цвет. После этого смотрим на предка и проверяем, не нарушается
ли красно-черное свойство. Если необходимо, мы перекрашиваем узел и производим
поворот, чтобы сбалансировать дерево.
Вставив красный узел с двумя NIL-потомками, мы сохраняем свойство
черной высоты (свойство 4). Однако, при этом может оказаться нарушенным
свойство 3, согласно которому оба потомка красного узла обязательно черны.
В нашем случае оба потомка нового узла черны по определению (поскольку
они являются NIL-узлами), так что рассмотрим ситуацию, когда предок
нового узла красный: при этом будет нарушено свойство 3. Достаточно рассмотреть
следующие два случая:
-
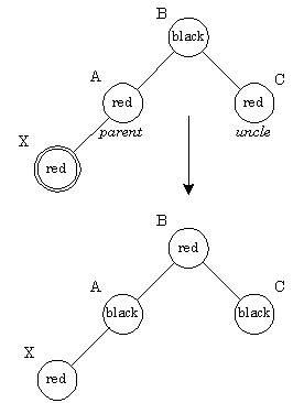
Красный предок, красный "дядя": Ситуацию красный-красный иллюстрирует
рис. 3.6. У нового узла X предок и "дядя" оказались красными. Простое
перекрашивание избавляет нас от красно-красного нарушения. После перекраски
нужно проверить "дедушку" нового узла (узел B), поскольку он может
оказаться красным. Обратите внимание на распространение влияния красного
узла на верхние узлы дерева. В самом конце корень мы красим в черный цвет
корень дерева. Если он был красным, то при этом увеличивается черная высота
дерева.
-
Красный предок, черный "дядя": На рис. 3.7 представлен другой вариант
красно-красного нарушения - "дядя" нового узла оказался черным. Здесь узлы
может понадобиться вращать, чтобы скорректировать поддеревья. В этом месте
алгоритм может остановиться из-за отсутствия красно-красных конфликтов
и вершина дерева (узел A) окрашивается в черный цвет. Обратите внимание,
что если узел X был в начале правым потомком, то первым применяется левое
вращение, которое делает этот узел левым потомком.
Каждая корректировка, производимая при вставке узла, заставляет нас подняться
в дереве на один шаг. В этом случае до остановки алгоритма будет сделано
1 вращение (2, если узел был правым потомком). Метод удаления аналогичен.

Рис. 3.6: Вставка - Красный предок, красный "дядя"

Рис. 3.7: Вставка - красный предок, черный "дядя"
Реализация
Коды, реализующие работу с красно-черными деревьями
на Си находится в разделе 4.7. Операторы typedef T, а также сравнивающие
compLT и compEQ следует изменить так, чтобы они соответствовали
данным, хранимым в узлах дерева. В каждом узле типа Node хранятся
указатели left, right на двух потомков и parent на предка.
Цвет узла хранится в поле color и может быть либо RED, либо BLACK.
Собственно данные хранятся в поле data. Все листья дерева являются
"сторожевыми" (sentinel), что сильно упрощает коды. Узел root
является корнем дерева и в самом начале является сторожевым.
Функция insertNode запрашивает память под новый узел, устанавливает
нужные значения его полей и вставляет в дерево. Соответственно, она вызывает
insertFixup, которая следит за сохранением красно-черных свойств.
Функция deleteNode удаляет узел из дерева. Она вызывает deleteFixup,
которая восстанавливает красно-черные свойства. Функция findNode
ищет в дереве нужный узел.
 Вверх по странице, к оглавлению и навигации.
| |